Pass: a244e923
Redis底层数据结构
String Hash List Set Zset
BitMap HyperLogLog GEO Stream
Set和 Zset的区别

点击图片可查看完整电子表格
Set是无序,唯一元素的集合,适合存储不重复且无需排序的数据
Zset是有序的,唯一元素的集合,每个元素关联一个“分数score”,按分数从小到大排序
Zset底层怎么实现的
数据结构由压缩列表或跳表实习
有序集合的元素个数<128个,并且每个元素的值小于64字节时,Redis会使用压缩列表作为Zset类型的底层数据结构
有序集合的元素不满足上面条件,用跳表作为Zset类型底层数据结构
Redis7.0之后,ziplist被弃用,由listpack 数据结构实现
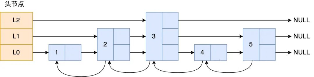
跳表如何实现?

跳表是一个多层的有序链表,每一层可包含多个节点,每一个节点通过指针连接,由zskiplist结构体类型的level数组,level每个元素表示一层,level[0]第一层,level[1]第二层,里面的*forward是下一个跳表的指针,跨度(span)用来记录两个节点之间的距离,遍历只需要struct zsliplistNode *forward 实现。
C++
typedef struct zskiplistNode {
sds ele; // 成员对象(如字符串)
double score; // 权重值(用于排序)
struct zskiplistNode *backward; // 后退指针(双向链表)
struct zskiplistLevel {
struct zskiplistNode *forward; // 前进指针
unsigned int span; // 跨度(记录距离)
} level[]; // 柔性数组,动态分配层数
} zskiplistNode;
Zset保存元素和元素权重对应到跳表节点结构就是sds类型的ele和变量double类型的score变量。每个跳表节点都有个后向的指针(struct zsliplistNode *backwad)形成双向链表,指向前一个节点,目的是为了方便从跳表的尾节点开始访问,倒序查找时方便
Redis跳表创建节点的适合,随机生成每个节点的层数,生成随机数【0-1】,<0.25则层数增加,继续随机,直到全都>0.25,最终确定该节点的层数,层高最大限制为64(设置层高)默认32
创建头节点的时候,如果层高的最大限制是64,就会直接创建64层高的头节点
跳表vsB+树

点击图片可查看完整电子表格
Redis是内存数据库,跳表在实现简单下,写入性能,内存访问模式等方面的综合优势,使其成为更合适的选择。
压缩列表ziplist
ziplist 的优缺点

点击图片可查看完整电子表格
zlibytes:记录整个ziplist占用内存的总字节数
zltail:最后一个entry的偏移量(支持反向遍历 )
zllen: entry数量(2^32-1,超过就需遍历计算)
zlend:结束标记0XFF
prevlen:前一个entry的长度
encoding:当前entry长度
content:实际数据
查询时间复杂度:第一个元素O(1), O(n)

ziplist根据数据类型(sting int )以及大小,会使用不同的prevlen和encoding保存信息,来节省内存
缺点:更新会发生连锁更新,ziplist占用的内存空间要多次重新分配,影响ziplist的使用性能
适用于保存节点数量不多的场景。
listpack:

encoding:定义该元素的编码类型
data:数据
len:encoding +data长度
listpack:只记录当前节点的长度,加入一个新元素的时候,不会影响其他长度字段的变化,从而避免了压缩列表的连锁更新
哈希表的扩容
在rehash进行期间,每次哈希表元素进行新增,删除,查找或者更新操作时,Redis除了会执行对应的操作之外,还会顺序将哈希表1中的索引位置上的所有key-value迁移到哈希表2上
随着处理客户端发起的哈希表请求数量变多,最终会把哈希表1中索引位置上的所有key-value迁移到哈希表2上,从而完成rehash操作。
哈希表扩容,有读请求怎么查
查找key值的话,先在哈希表1查找,没找到在哈希表2继续查找
String 使用什么存储,不用c语言中的字符串
Redis的String是用SDS(简单动态字符串,支持多种编码格式)存储的

len:记录了字符串长度
alloc:分配给字符数组的空间长度
flags:不同类型的SDS
buf[]:字符数组,用来保存实际数据
O(1)获取字符串长度
可存储"�"的数据,二进制安全
缓冲区大小不够用时,Redis会自动扩展SDS大小
线程
Redis快,why?
Redis的QPS(10w/s)
Redis的大部分操作在内存中完成,且采用了高效的数据结构
采用单线程可以避免多线程之间的竞争,省去了多线程切换带来的时间和性能上的开销,而且不会死锁
Redis采用I/O多路复用机制处理大量的客户端Socket请求,即一个线程处理多个IO流。
Redis多线程
Redis命令仍然是单线程的,多线程的引进用来异步处理关闭文件任务,AOF刷盘任务,释放内存任务,以及处理I/O请求——I/O多路复用
日志持久化
AOF(追加日志):
Redis每执行一条写操作命令后,就会把该命令以追加的方式写到一个文件里,当AOF文件过大,Redis会进行AOF重写(通过执行bgrewriteaof命令),剔除多余的命令,Redis重启时,读取此文件记录的命令,然后逐一执行命令的方式进行数据恢复
刷盘策略
always: 同步刷盘 可靠性高,几乎不丢失数据 性能影响大
everysec: 每秒刷盘 性能始适中 最多丢失1s数据
no: OS控制 性能最好 下 可靠性差,可能丢失大量数据
RDB(快照)
save :在主线程生成RDB文件,由于和执行操作命令在同一个线程,如果写入RDB文件的时间过长,会阻塞主线程
bigsave:创建子线程生成RDB文件,避免主线程阻塞
AOFvsRDB

点击图片可查看完整电子表格
高可用
主从复制
一个主节点连接多个从节点,主节点写,从节点读,实现读写分离
提升系统的并发能力以及保证其高可用性
原理:
建立连接:从节点连接主节点,并发送psync命令,请求数据同步,这时候主节点会为从节点创建客户端连接,分配复制缓冲区,记录复制积压缓冲区
全量同步:当从节点首次连接主节点时,会触发全量同步(复制ID不匹配时也是全量)
增量同步:主节点把同步的写命令暂存一份到复制积压缓冲区,用于存储最近的命令,主从发生网络断链,从节点重新连接,可以复制积压缓冲区中复制尚未同步的写命令
命令传播:主从完成全量同步后,依靠传播命令阶段来保证数据的增量同步,主节点会将每次执行的命令异步发送给所有从节点。
问题:
主节点处理完命令后写命令后会立即响应客户端,而不会等待从节点确认,可能出现数据一致性,
全量同步会占用大量的CPU和IO资源,大数据的情况下,会导致主节点的性能下降
哨兵机制
核心功能:
监控 通知和自动故障转移,
哨兵会定期检查主从节点是否按预期工作,当检测到主节点故障时,在从节点选举一个新的主节点,并通知客户端连接到新的主节点
原理:
主观下线:单个哨兵发现主节点没有响应,临时标记为主观下线
客观下线:达到法定人数的哨兵认为主观下线,则判定为客观下线
故障转移:哨兵选举出一个领导者,领导者再从从节点基于Raft算法投票选举出一个最合适的节点作为新的主节点,选举标准包括连接状态复制偏移量 运行ID等
确定主节点后,哨兵 向其发送slaveof no one 命令使其升级为主节点,然后在向其他从节点发送slaveof命令指向新主节点 ,最后通过发布/订阅机制通知客户端主节点已经发生变化
描述:
Redis 哨兵机制通过多节点监控实现高可用。当单个哨兵判定主节点主观下线时,若法定人数(quorum)的哨兵达成共识,则标记为客观下线。哨兵集群通过 Raft 算法选举领导者,由领导者依据数据偏移量和优先级选择新主节点,执行 SLAVEOF no one升级新主,并命令其他从节点复制新主。故障转移后,哨兵通过发布/订阅通知客户端,并将旧主节点降级为从节点。
Raft算法
1.当一个哨兵确认主观下线后,会像其他哨兵发送节点请求,希望自己来执行主从切换,并让所有哨兵进行投票,候选者先给自己投一票,等待其他哨兵投票
2.收到请求的哨兵节点进行判断,候选者日志和自己一样新,任期号也<自己,没投票过,就Y,or N。
3.投票超过一半,竞选为领导者
4.选举失败则进入下一轮选举,为了防止无限制选举失败,每个哨兵都有个选举超时时间,随机的
选取主节点优先级:
1从节点优先级: slave_priority值越小优先级越高,优先级为0不会被选中
2.复制偏移量:偏移量越大意味着从节点数据越新,复制的越完整,
3.运行ID:如果优先级和偏移量相同,ID小优先
Redis集群
Redis Cluster:
官方提供的分布式集群解决方案,核心理念是去中心化,每个节点都保存着数据和整个集群的状态。
通过分片的方式将整个 数据集划分为16384个hash slot,每个键通过CRC16校验后,对16834取模决定属于哪个槽
缓存
缓存击穿
某个热点数据缓存过期时,大量请求会穿透缓存直接访问数据库,导致数据库瞬间压力大
解决方式:
1 加互斥锁:缓存失效时,第一个访问的线程先获取锁并重建缓存,其他线程等待或重试
2 永不过期策略:热点数据不设置过期时间,由后台异步更新缓存,或者在缓存过期前,提前通知后台线程更新缓存以及重新设置
过期时间。
缓存穿透
用户访问数据,不在缓存和数据库中,请求在访问缓存时,发现缓存缺失,缓存找不到,全都打到数据库上。大量请求,数据库压力剧增
解决方式:
布隆过滤器:一种效率极高的数据结构,用于快速判断一个元素是否可能存在于一个集合中(可能会误判,但不会漏判)
缓存空值:空值写入缓存,设置一个合理的过期时间,下次相同查询直接从缓存返回,不访问数据库
缓存雪崩:
某一时间段,大量缓存同时失效或者服务器突然宕机,导致大量请求涌向数据库,导致数据库压力剧增,甚至引发系统崩溃的现象
大量缓存同时过期:添加随机过期时间
缓存服务崩溃:使用高可用的缓存集群 可配置本地缓存作为二级缓存
缓存服务正常但并发超过了缓存服务的承载能力:限流或者降级措施
如何处理热key:
将热key缓存到本地内存,这样请求不需要访问Redis
特热key,拆分为多个子key,随机分布在redis节点上
如何处理大key
常见大key:大量元素的list,set,hash,大文件String,复杂嵌套的json
拆分成小key,json类型的,Gzip压缩后在存储
缓存预热
提前将热数据加载到缓存中,避免冷启动时大量请求直接打到数据库
在夜间用户量少的时候更新最新数据,使更多的用户第一次访问时就能获取缓存数据,减轻数据库的压力
过期策略:
惰性删除:客户端访问key,Redis检查key是否过期,如果过期会立即删除并返回null
定期删除:
内存淘汰:
noeviction:不删除key,返回错误信息,生产上几乎不用
对key:
allkeys-lru:删除最少使用的key
allkeys-lfu:删除访问频率最低的key
allkeys-random:随机删除key
过期时间:
volatile-lru: volatile-lfu: volatile-ttl: volatile-random
lru在缓存场景使用,能自动保留热点数据
lfu适合长期运行的系统
Reids和Mysql一致
旁路缓存+延迟双删
写操作:
先删除Redis中的缓存数据,在更新Mysql的数据,延迟一会,在删除Redis缓存
读操作:
先读Redis,如果命中则直接返回,如果未命中,则读Mysql,将Mysql中读到的数据写入Redis
缓存更新与业务逻辑解耦:
业务:只更新数据库,不更新缓存。
缓存:客户端接收变更信息后,调用接口删除或更新Reids中对应的缓存
分布式锁 :
1.set key value NX PX 3000
锁名为key,持有者value。 NX保证只有key不存在时才能创建成功,EX设置时间防止死锁
解锁:
Lua脚本:get和del是两个独立操作,非原子性不用Lua,可能在get之后,del之前锁就过期了,且被其他客户段获取,从而导致误删别人的锁,Lua脚本可以保证这俩个操作的原子性。
2.Redisson
看门狗机制:
调用lock()方法加锁时,如果没有显式设置过期时间,Redission会默认给锁加一个30s的过期时间,同时启动”看门狗“的定时任务,每隔10s会检查一次锁是否还被当前线程持有吗,如果是,自动续期,将过期时间延长到30s
续期操作通过Lua保证原子性
Redlock:
部署N个独立的Redis节点,容忍部分节点故障
客户端向所有N个节点发送加锁命令,只有当从大多数节点(>1/2)上成功获取锁,且加锁总耗时小于所得过期时间,才认为加锁成功
场景假设
1,假如 Redis ⾥⾯有 1 亿个 key,其中有 10w 个 key 是以某个固定的已 知的前缀开头的,如何将它们全部找出来?
使用SCAN命令配合MATCH参数解决
2,秒杀场景处理高并发以及超卖现象
解决方式:
1.数据库上:
在查询商品库存上设置排他锁,更新库存时,进行库存限制条件
性能不好,无法应对高并发
2分布式锁+分布缓存
把数据分成多段,每个段都是一个单独的锁,多线程并发修改数据的时候,可以并发的修改不同段的数据。
当某段锁的库存不足时,一定要自动是否锁然后换下一个分段库存再次尝试加速处理
3.redis的incr,decr的原子性+异步队列
初始化时,将商品库存加载到Reids缓存中
接收到秒杀请求时,在Reids预减缓存(利用Redis decr的原子性),当Redis缓存不足时,直接返回秒杀失败,否则继续下步
将请求放入异步队列,返回正在排队中
服务端异步队列将请求出队(哪些请求可以出队,可以根据业务来判定,比如:判断对应用户是否已经秒杀过对应商品,防止重复秒杀),出队成功的请求可以生成秒杀订单,减少数据库库存(在扣减库存的sql如下,返回秒杀订单详情)
用户在客户端申请秒杀请求后,进行轮询,查看是否秒杀成功,成功进入秒杀订单详情,否则秒杀失败。
上一条:redis十种数据类型及底层原理
下一条:Redis缓存一致性问题
品质保证
多年的生产力软件专家
专业实力
资深技术支持项目实施团队
安全无忧
多位认证安全工程师
多元服务
软件提供方案整合,项目咨询实施
购软平台-找企业级软件,上购软平台。平台提供更齐全的软件产品、更专业的技术服务,同时提供行业资讯、软件使用教程和技巧。购软平台打造企业级数字产品综合应用服务平台。用户体验和数字类产品的专业化服务是我们不断追求的目标。购软平台您身边的企业级数字产品优秀服务商。
沪公网安备31011302006932号